Seismic Refraction Tomography (SRT) and Multichannel Analysis of Surface Waves (MASW)


Area of Applications
Geotechnical and Engineering application to determine depth to interface.
Detection of fracture zones in connection to ground water prospecting
Hazardous waste disposal program
Soil foundations
Ground water table
Determine depth of the Bedrock
Quantify Subsurface Stiffness for Engineering Confidence
Seismic Refraction Tomography (SRT) and Multichannel Analysis of Surface Waves (MASW) are advanced geophysical methods used to determine seismic wave velocities, which are directly related to the elastic properties of soils and rocks.
At GeophysicsPro, we transform seismic data into engineering-relevant parameters, including shear wave velocity (Vs), compressional velocity (Vp), and derived elastic moduli, supporting reliable geotechnical and infrastructure design.
👉 Request a consultation for MASW & seismic survey services
Why Use SRT & MASW for Subsurface Investigation?
Direct estimation of soil and rock stiffness (Vs, Vp)
Non-invasive alternative to extensive in-situ testing
Continuous subsurface profiling (not point-based like boreholes)
Essential for seismic site classification (Vs30)
Provides parameters for elastic modulus and engineering models
These methods are widely used in geotechnical investigation, infrastructure design, and seismic hazard assessment.
Key Applications
Geotechnical Engineering
Soil stiffness profiling for foundation design
Depth to bedrock determination
Rock quality and rippability assessment
Elastic modulus estimation for engineering analysis
Infrastructure & Construction
Site classification (Vs30) for seismic design
Subsurface characterization for roads, bridges, and buildings
Ground improvement assessment
Geohazard & Environmental Studies
Landslide investigation (weak zones identification)
Fault and fracture mapping
Subsurface layering in complex terrains
How SRT & MASW Work
Seismic Refraction Tomography (SRT)
SRT measures compressional wave velocity (Vp) by recording the travel time of refracted seismic waves.
High Vp → dense, competent rock
Low Vp → weathered, fractured, or unconsolidated materials
SRT is ideal for:
Depth to bedrock
Rock mass characterization
Structural mapping
Multichannel Analysis of Surface Waves (MASW)
MASW measures shear wave velocity (Vs) using surface wave dispersion analysis.
High Vs → stiff soils or rock
Low Vs → soft or loose soils
MASW is critical for:
Soil stiffness profiling
Vs30 calculation
Dynamic soil behavior
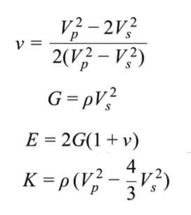
From Seismic Velocity to Elastic Moduli (Engineering Parameters)
One of the most powerful advantages of SRT & MASW is the ability to derive elastic properties of the subsurface, which are directly used in engineering analysis.
Key Relationships
From measured velocities:
Vp (P-wave velocity) → compressional behavior
Vs (S-wave velocity) → shear stiffness
We derive:
Shear Modulus (G)
Bulk Modulus (K)
Young’s Modulus (E)
Poisson’s Ratio (ν)
👉 These parameters are essential for:
Foundation design
Settlement analysis
Numerical modeling (e.g., FEM)
Seismic response analysis
Engineering Interpretation (Soils vs Rocks)
Soils
Vs controls stiffness and deformation behavior
Low Vs (<200 m/s) → soft, compressible soils
Medium Vs (200–400 m/s) → compact soils
High Vs (>400 m/s) → dense or cemented materials
Elastic moduli help estimate:
Settlement potential
Bearing capacity trends
Dynamic response
Rocks
Vp and Vs indicate rock quality and fracturing
High velocities → intact, competent rock
Low velocities → fractured or weathered rock
Elastic moduli support:
Rock mass classification
Excavation/rippability assessment
Stability analysis
Integrated Interpretation Advantage
Combining SRT and MASW provides a complete mechanical characterization:
SRT → structure and compressional properties
MASW → shear stiffness and dynamic behavior
This integration reduces uncertainty in:
Layer boundaries
Material properties
Engineering design parameters
Our Workflow for Seismic Surveys
1. Survey Design
Objective-based layout planning
Geophone spacing and source optimization
Depth of investigation control
2. Data Acquisition
Multi-channel seismic recording systems
Controlled seismic sources (hammer or weight drop)
High-resolution field data collection
Equipment & Technology
We use advanced seismic acquisition systems with:
High-sensitivity geophones
Multi-channel recorders
Real-time quality control
3. Data Processing
First-arrival picking (SRT)
Dispersion analysis (MASW)
Velocity model inversion
4. Interpretation
Integration with geological and geotechnical data
Layering, stiffness, and anomaly identification
Conversion to engineering parameters (E, G, K, ν)
5. Deliverables
2D seismic velocity sections (Vp & Vs)
Elastic modulus profiles
Engineering interpretation of subsurface conditions
Vs30 classification results
Technical report with recommendations
Applications in Real Projects
Determining depth to competent rock for foundation design
Evaluating soil stiffness for infrastructure projects
Mapping weak zones in landslide areas
Supporting seismic hazard and site classification
Value to Your Project
Our SRT & MASW services provide:
Quantitative stiffness parameters (Vs, Vp, moduli)
Reduced uncertainty in subsurface conditions
Improved engineering design inputs
Cost-effective site investigation
Enhanced safety and reliability
Why Choose GeophysicsPro
Strong integration of geophysics with geotechnical engineering
Ability to deliver elastic moduli, not just velocities
Experience in complex geological environments
Focus on decision-ready engineering outputs
Flexible full-service and modular solutions
Frequently Asked Questions (FAQ)
What is the difference between SRT and MASW?
SRT measures compressional wave velocity (Vp), while MASW measures shear wave velocity (Vs), which is more directly related to soil stiffness.
Why is shear wave velocity (Vs) important?
Vs is the key parameter for evaluating soil stiffness and is used in seismic design and geotechnical analysis.
Can you calculate elastic modulus from MASW?
Yes, shear modulus and other elastic parameters can be derived from Vs when density is known or estimated.
What is Vs30?
Vs30 is the average shear wave velocity in the top 30 meters and is widely used for seismic site classification.
Start Your Geotechnical Investigation with Quantitative Confidence
Whether you are designing foundations, assessing ground conditions, or evaluating seismic risk, our SRT & MASW services provide reliable, quantitative subsurface parameters for informed decision-making.
👉 Contact us today to discuss your seismic survey requirements






Higher Vs indicates stiffer soil, lower compressibility, and higher bearing capacity


